الجمعة, 1 مايو 2026, 13:17
صحيفة الأمم اليومية الشاملة

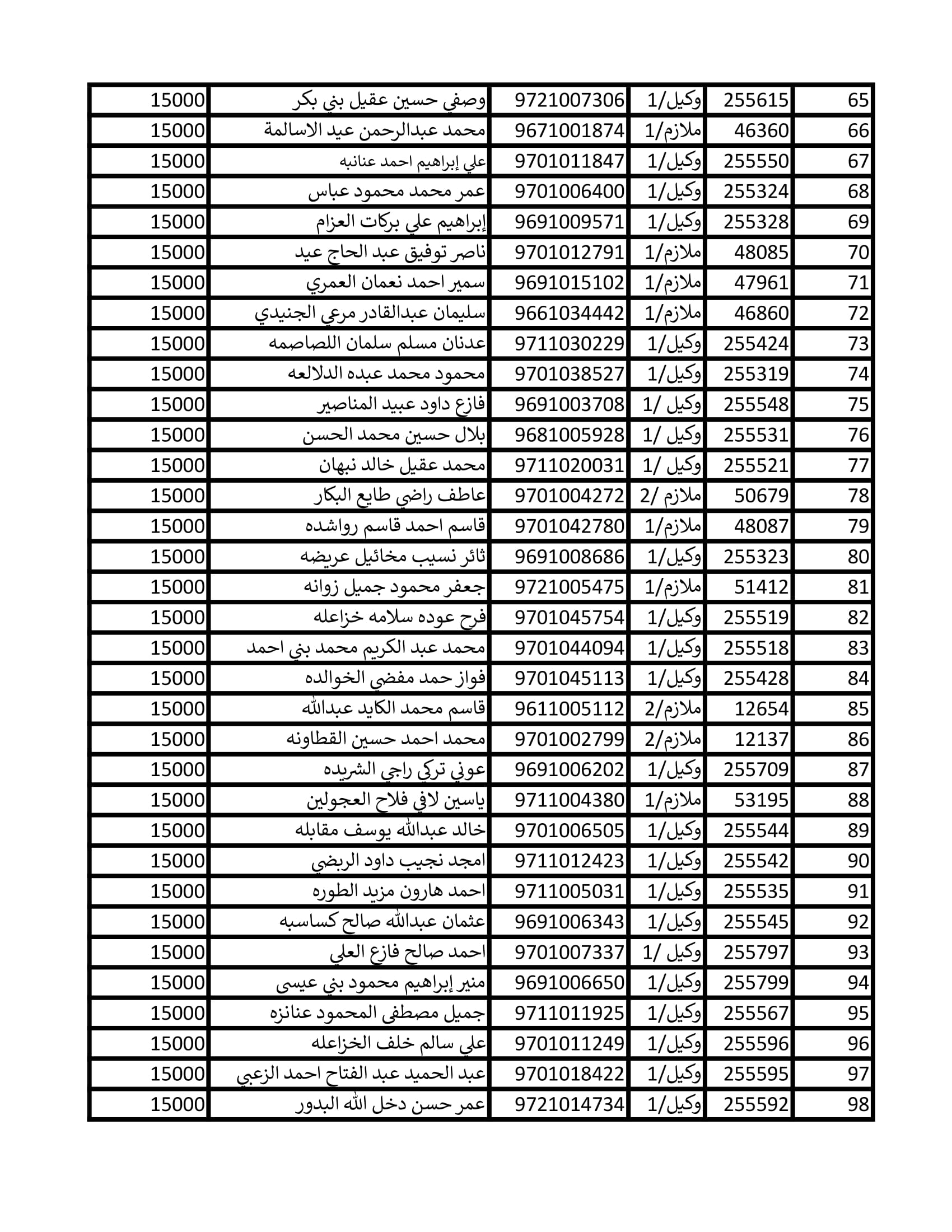
الدفعة الثانية لمستحقي قروض اسكان الجيش لشهر حزيران (اسماء)

نشرت القيادة العامة للقوات المسلحة الأردنية – الجيش العربي اليوم الاثنين كشف الدفعة الفرعية رقم (2) لمستحقي القروض الاسكانية لشهر حزيران.

وقالت القيادة العامة إنه تم تحويلها الى بنك القاهرة عمان وفروعه داخل المملكة.

واضافت، على المذكورين مراجعة البنك لاستلام مستحقاتهم.

وتاليا الاسماء:

Share and Enjoy !

Shares