الجمعة, 1 مايو 2026, 10:53
صحيفة الأمم اليومية الشاملة

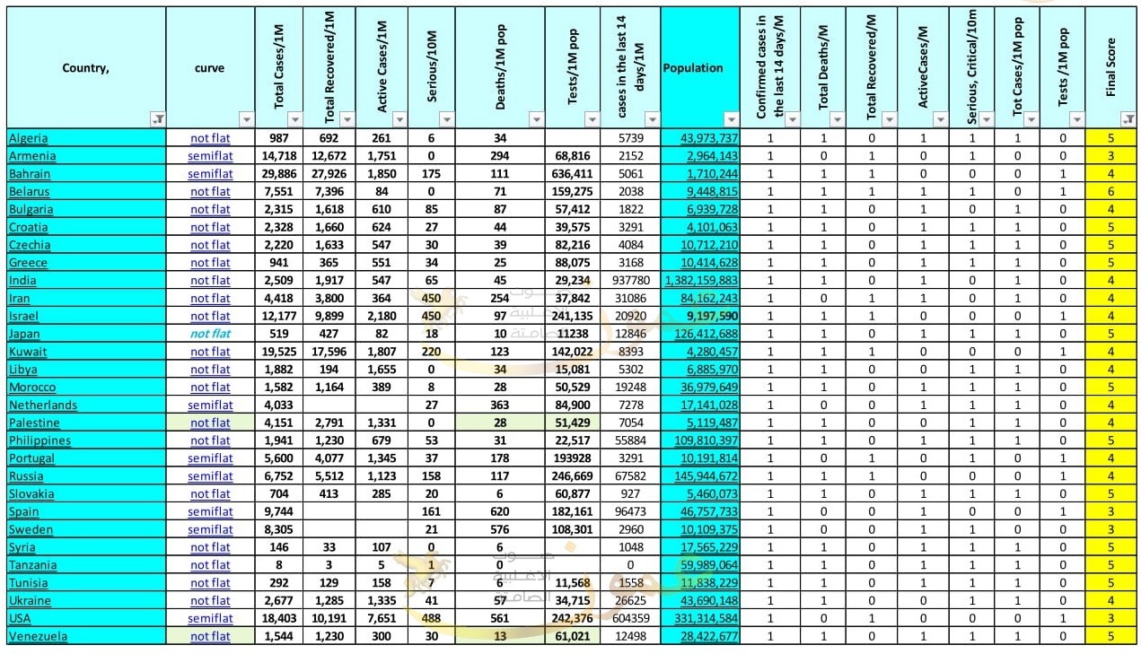
19 دولة مصنفة خضراء و29 صفراء و12 حمراء (اسماء)

 قائمة تصنيف الدول الى خضراء وصفراء وحمراء بحسب وزارة الصحة الأردنية.

وشملت قائمة الدول الخضراء وهي ذات الخطر المتدني لوباء كورونا 19 دولة، فيما شملت قائمة الدول الخضراء بحذر وهي ذات المنحنى شبه المسطح 31 دولة.

وشملت قائمة الدول الصفراء وهي ذات الخطر المتوسط 29 دولة، اما قائمة الدول الحمراء وهي ذات الخطر العالي فشملت 12 دولة.

وبحسب وزارة الصحة تحدث القوائم كل اسبوعين بحسب الوضع الوبائي في كل دولة.

وتاليا القوائم:

Share and Enjoy !

Shares