31.1 C
عمّان
الثلاثاء, 12 مايو 2026, 21:28
صحيفة الأمم اليومية الشاملة

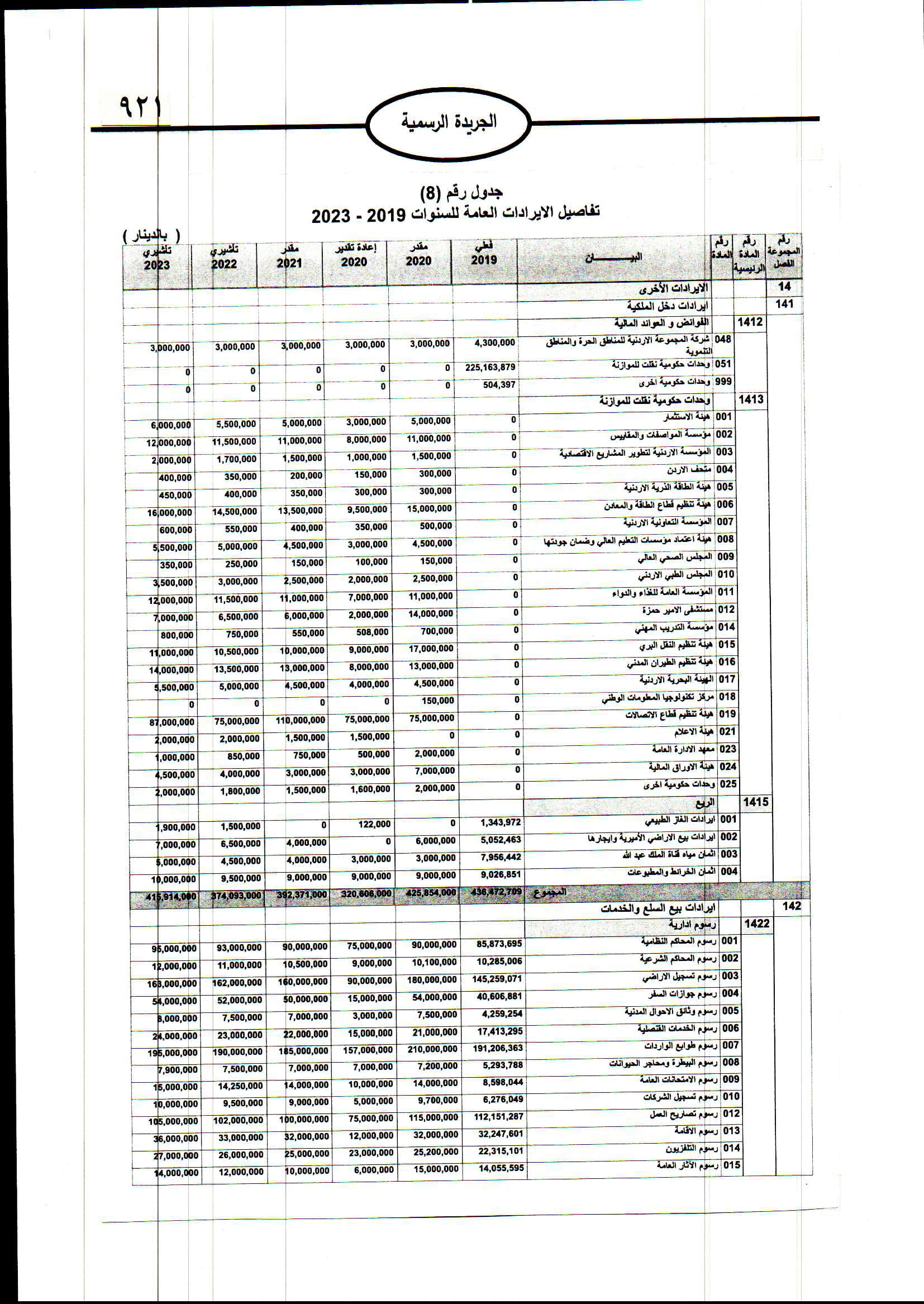
صدور قانوني الموازنة العامة والوحدات الحكومة لسنة 2021

صدر في عدد الجريدة الرسمية اليوم الاثنين قانوني الموازنة العامة لعام 2021، وموازنة الوحدات الحكومية، بعد صدور الإرادة الملكية السامية بالموافقة عليهما.

وتاليا مشروع قانون الموازنة العامة:

Share and Enjoy !

Shares