15.1 C
عمّان
الجمعة, 17 أبريل 2026, 5:13
صحيفة الأمم اليومية الشاملة

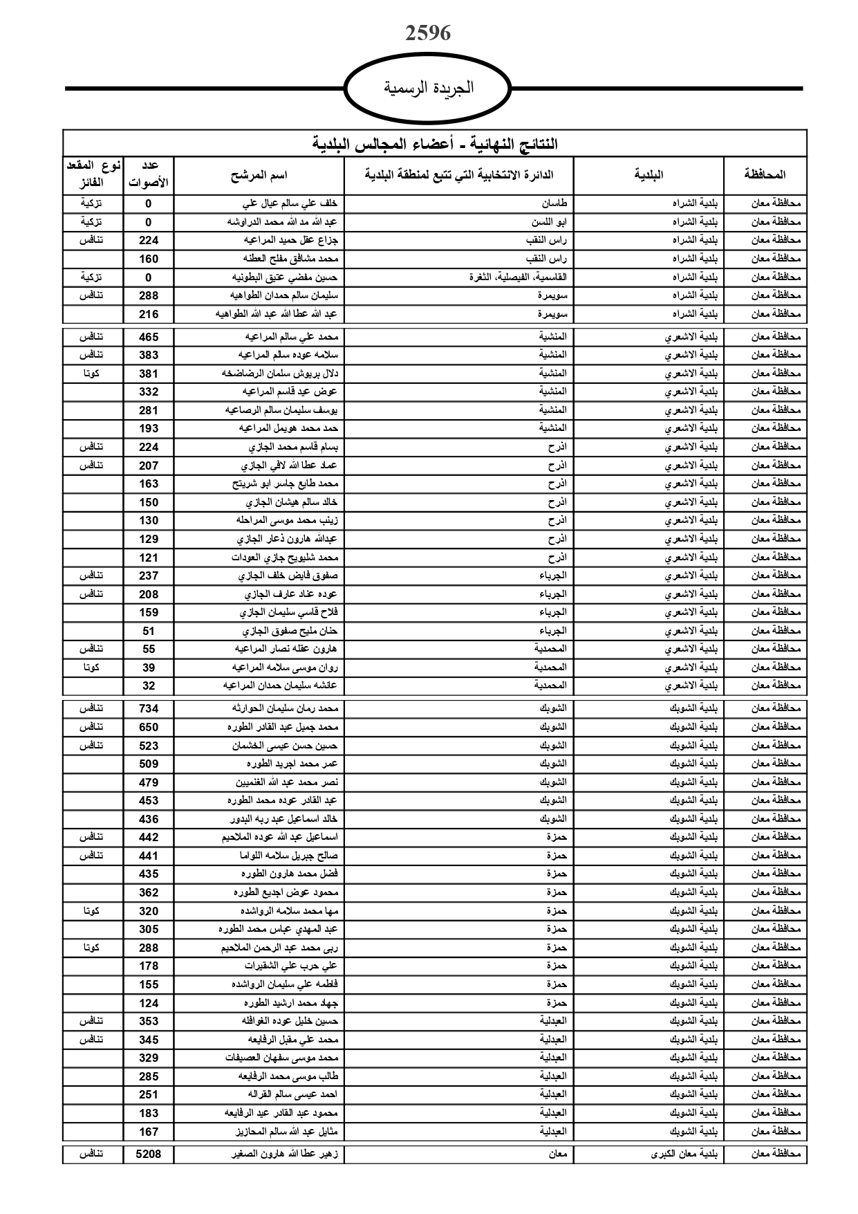
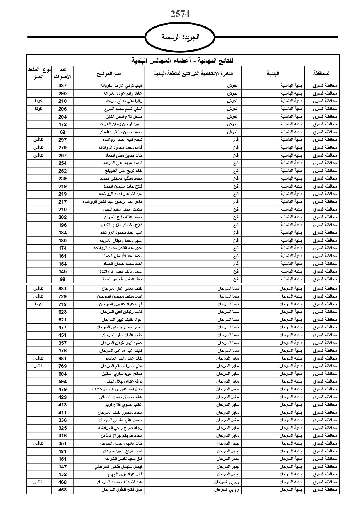
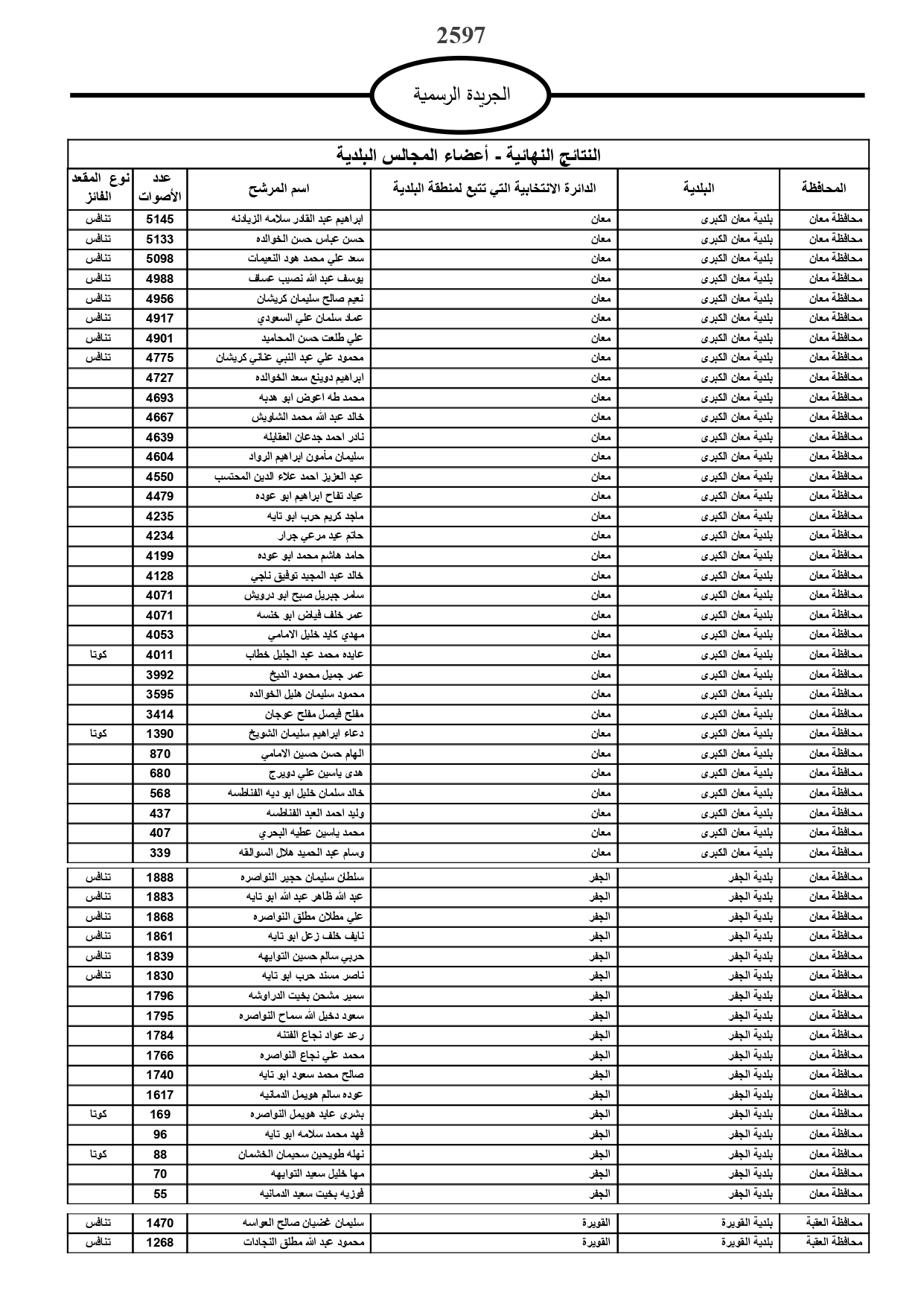
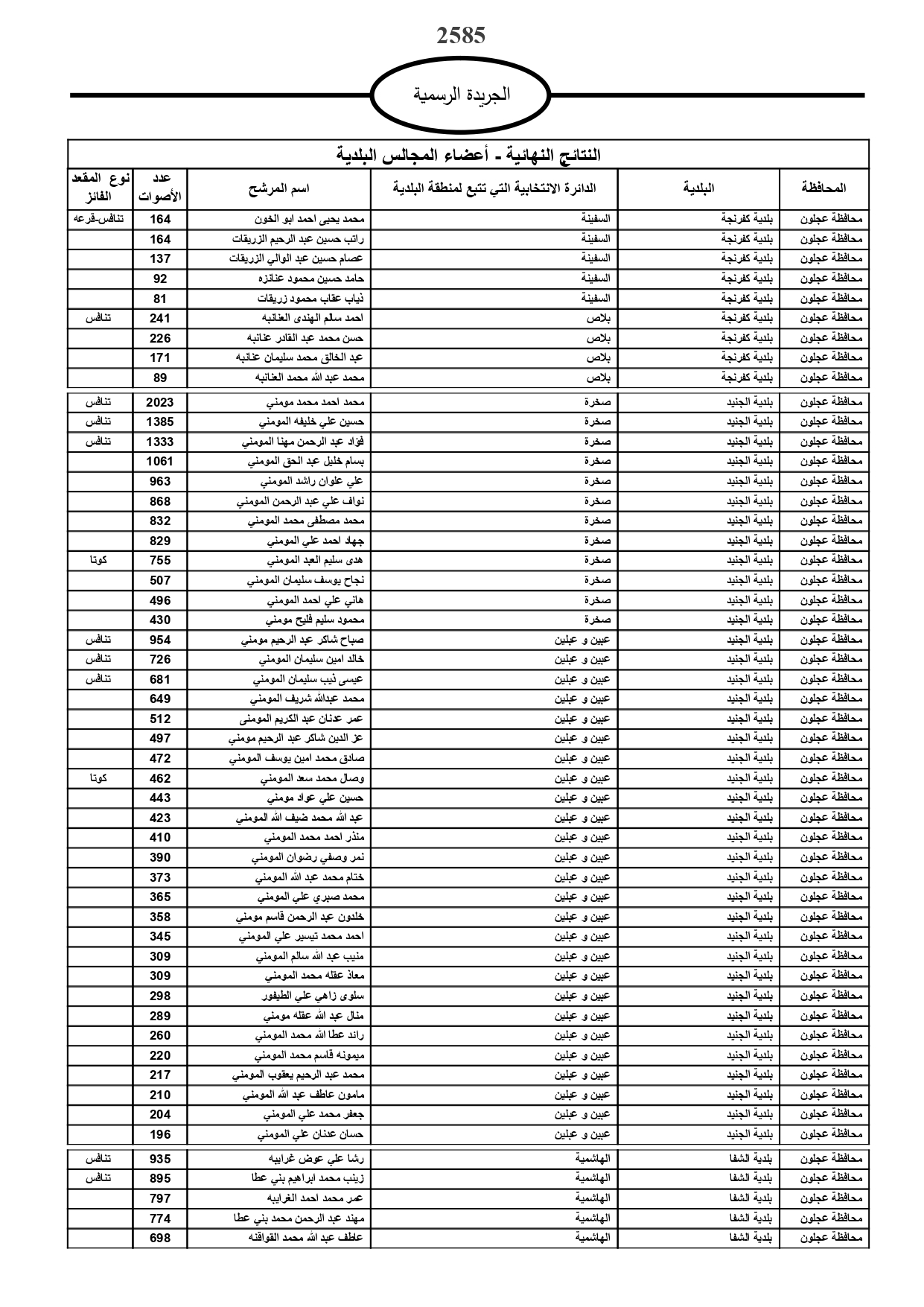
صدور نتائج انتخابات مجالس المحافظات والبلديات وأمانة عمان بالجريدة الرسمية

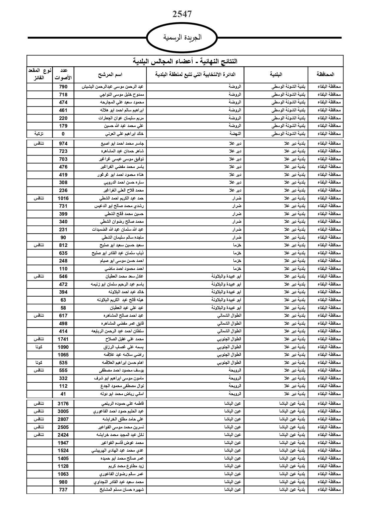
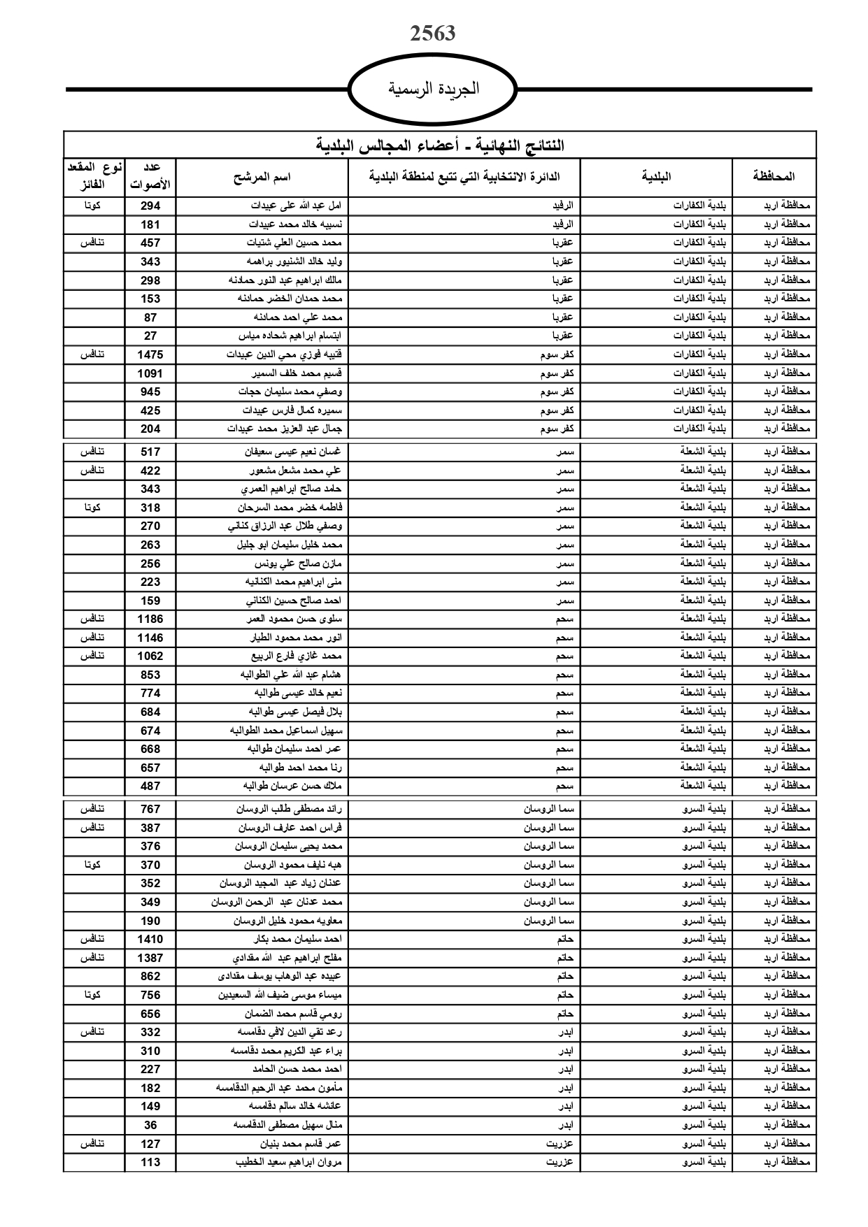
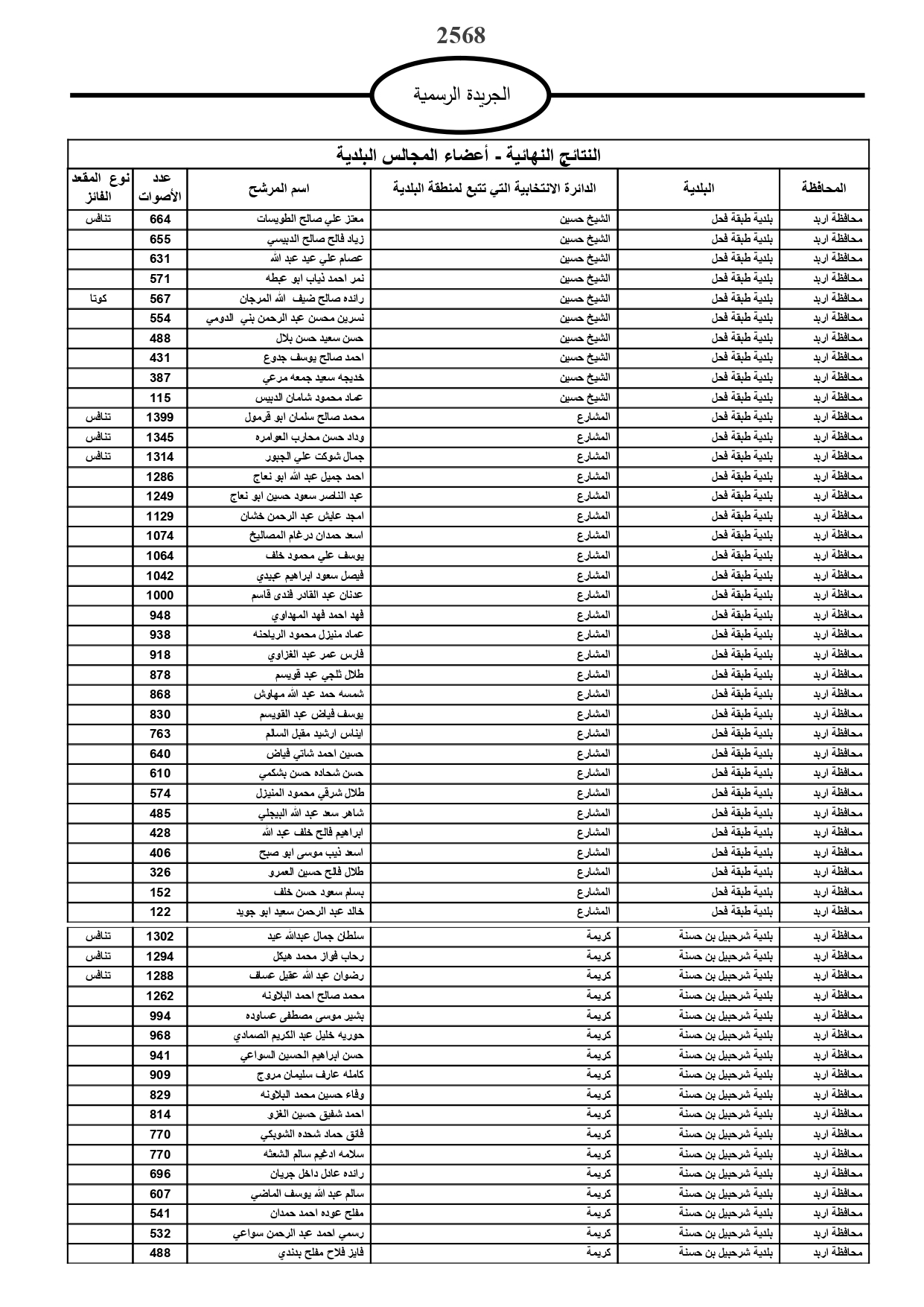
– صدر في عدد الجريدة الرسمية الخميس، النتائج النهائية لانتخابات مجالس المحافظات والمجالس البلدية ومجلس أمانة عمان الكبرى لسنة 2022.

وتاليا النتائج:

Share and Enjoy !

Shares